直徑Φ 倒角量 a 角度θ 正切函數tan θ 正弦函數 sin θ 余弦函數 cos θ 圓弧半徑...
來源: 點擊數:30119次 更新時間:2021-06-11

直徑Φ 倒角量 a 角度θ 正切函數tan θ 正弦函數 sin θ 余弦函數 cos θ 圓弧半徑R 乘以號x 除以號÷ 先運算( )內結果,再運算【 】,再運算全式。

1
外圓倒斜角計算公式
例子:Φ 30直徑外端倒角1.5x60° 程式:Go X32 Z2
1,倒角起點直徑X= Φ-2xaxtanθ° X=30-2x1.5x1.732=24.804 G1 X24.804 Z0 F0.2
2,倒角起點長度Z=0 其中tan60°由數學用表查出G1 X30 Z-1.5 F0.15
3,倒角收點直徑X= Φ;G1 Z-50
4,倒角收點長度Z= -a

2
內圓倒斜角計算公式
例子:Φ 20孔徑外端倒角2x60° 程式:Go X18 Z2
1,倒角起點直徑X= Φ+2xaxtanθ° x=20+2x2x1.732=26.928 G1 x26.928 Z0 F0.2
2,倒角起點長度Z=0 G1 X20 Z-2 F0.15
3,倒角收點直徑X= Φ;G1 Z-30
4,倒角收點長度Z= -a

3
外圓倒圓角計算公式
例子:Φ 35直徑外端圓角R3 程式:Go X36 Z2
1,倒角起點直徑X= Φ-2*R X=35-2x3=29 G1 X29 Z0 F0.2
2, 倒角起點長度 Z=0 G3 X35 Z-3 R3 F0.15
3,倒角收點直徑X= Φ;G1 Z-30
4,倒角收點長度Z= - R
4
內圓倒圓角計算公式
例子; Φ 20孔徑外端圓角R2 程式:G0 X18 Z2
1,倒角起點直徑X= Φ+2*R X=20+2x2=24 G1 X24 Z0 F0.2
2, 倒角起點長度 Z=0 G2 X20 Z-2 R2 F0.1
3,倒角收點直徑X= Φ G1 Z-25
4,倒角收點長度Z= - R

5
G90、G92數控指令R錐度值的計算
例子:大端Φ 35小端Φ32錐體長20 牙長16mm讓刀3mm加工
1、計算圖上錐度比例值:(32-35)/20=-0.15 程式;G0 X37 Z3
(起始端直徑 - 收點端直徑)÷錐體長度 G92 X33.8 Z-16 R-1.425 F2
2、計算G92實際R值(車牙時,起始端至收點端的半徑差):-0.15X1/2X(16+3)=-1.425 X33.1
錐度比例值x1/2x(有效牙長度+讓刀位置)X32.6
3、G92的收刀點直徑:35+(-0.15X(20-16))-2X1=32.4X32.4
錐體收點端直徑+錐度比例值x(錐體長度—有效螺紋長度)—2x牙高
6
球冠的高度計算公式
1、當截面為劣弧時。球冠高度= R-【R2-(X/2)2)】的方差的平方根

2、當截面為優弧時。球冠高度=R+【R2-(X/2)2)】的方差的平方根


例如:Φ 35外徑前端車制一個R50的圓弧面弓高=R50-【R50乘方-(35/2)乘方】的方差的平方根=3.162程序:S800 M3G99T0101 G0 X36 Z2 G71 U2 R1 F0.25 G71 P10 Q40 U0.8 W0.1 N10 G0 X0 N20 G1 Z0 N30 G3 X35 Z-3.162 R50 N40 G1 X36 G70 P10 Q40 S1500 F0.1 G0 X100 Z50 M5 M30
例如:Φ 40棒料車制尾柄為 Φ 18 的 R20的球體弓高=R20+【R20乘方-(18/2)乘方】的方差的平方根=37.86程序:S800 M3G99T0101 G0 X41 Z2 G71 U2 R1 F0.25 G71 P10 Q40 U0.8 W0.1 N10 G0 X0 N20 G1 Z0 N30 G3 X40 Z-20 R20 N40 G1 X41 G70 P10 Q40 S1500 F0.1 G0 X100 Z50 T0202 G0 X44 Z-37.86 G72 W2.5 R0 F0.25 G72 P50 Q80 U0.8 W0 N50 G0 Z-20 N60 G1 X40 N70 G3 X18 Z-37.86 R20 N80 G1 Z-37.86 G70 P50 Q80 S1500 F0.1 G0 X100 Z50 M30
7
錐臺圓角的計算
1、起始端X =Φ-2R【 (1-sin θ)*tanθ-cos θ】Z=0
2、切點 X =Φ+2R (1-sin θ)*tanθ Z =-(1-Sinθ)*R
3、收點X=錐體大端直徑Φ Z = -(Φ-切點X)÷2÷tanθ+切點的Z(也就是錐長)

8
錐體與球體結合體的接點
1、頂端 X=0 Z=0
2、圓弧與錐體相切點 X=2xRxcosθ°
Z= -(1-Sinθ°)xR
收點端 X=錐體大端Φ Z= -(Φ-切點X)÷2÷tanθ+切點的Z
例如:Φ32棒料車制一個前端為R3的60度頂尖
圓弧與錐體切點X=2*3*0.866=5.196
Z=-(1-0.5)*3=-1.5
錐大端=32
錐體大端=-(32-5.195)÷2÷ 0.57733+(-1.5)=-24.713

程序:S700 M3G99T0101G0 X32.5 Z2 G71 U2 R1 F0.25 G71 P10 Q40 U0.8 W0.1 N10 G0 X0 N20 G1 Z0 N30 G3 X5.196 Z-1.5 R3 N40 G1 X32 Z-24.713
G70 P10 Q40 S1500 F0.1 G0 X100 Z50 M5 M30

9
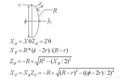
大圓弧R與小圓弧r的接合
1、起始端 X=0 Z=0
2、切點X Z見上圖
3、收點X =Φ Z=見上圖
例如直徑100棒料車R80大球端,r10卷邊
S500M3T0101G99
G0 X102 Z2
G71 U2.5 R1 F0,25
G71 P10 Q50 U0.8 W0.2
N10 G0 X0
N20 G1 Z0
N30 G3 X91.428 Z-14.347 R80
N40 G3 X100 Z-22.554 R10
N50 G1 Z-23
G70 P10 Q50 S800 F0.12
G0 X150 Z50
M5
M30
數控車床必備常用三角函數計算公式




文章來自網絡,由普拉迪數控機床加工中心網站編輯,如若有問題請聯系管理員,轉載請注明出處:http://www.zheiliao.cn/xingyedongtai/331.html

在新能源行業追求更高能量密度與極致安全的征程中,固態電池被譽為下一代動力電池的“圣杯”。然而,從實驗室的突破到規模化量產,橫亙在面前的是一系列艱巨的工程技術挑戰...

鋁型材本身巨大的市場需求,是催生專用加工中心的根本原因。型材加工中心就是鋁型材中最具代表性的加工中心。

尊敬的客戶:您好!在國慶中秋節放假期間,普拉迪的各項工作并未停止,有任何設備相關問題與咨詢問題都可撥打400-888-1136進行咨詢。

假期期間,為保證能迅速響應客戶需求,普拉迪售服熱線仍有專人值守。若有緊急情況需要協助處理,歡迎及時撥打普拉迪售服熱線:400-888-1136

普拉迪型材加工中心作為高端數控裝備的代表,正以其卓越的精度、極高的效率和出色的靈活性,深度融入汽車研發與生產的各個環節,成為推動行業進步的關鍵力量。

2025年9月3日上午,普拉迪全體員工齊聚一堂,共同觀看紀念中國人民抗日戰爭暨世界反法西斯戰爭勝利80周年閱兵活動直播。這一刻,我們不分職位、不論部門,都是心懷...